咨询热线: 18753190152
客服中心
咨询热线 : 18753190152
工作时间 : (周一至周六)
总部地址 : 济南市工业南路51号
邮政编码 :250101
博科小知识-浮游菌检测标准操作规程
发布日期:2023/1/4 9:41:24
1.取样前准备工作
1.1 依据检测区域的取样点数,按照《培养基配制、灭菌标准操作程序》制备适量的营养琼脂培养基。
1.2 在超净工作台内,以无菌操作法将配制好的营养琼脂培养基以每皿约15ml的装量分装,待培养基凝固后移出洁净区。
1.3 将制备的营养琼脂平皿倒置于隔水式恒温水浴培养箱内于30~35℃培养48小时。取出逐个检查,确认无菌落数后即可使用。
1.4 采样:将上述制备好的营养琼脂平皿交与QA人员取样。
2.仪器、设备和培养基
2.1 所用的仪器、设备和培养基
2.1.2 浮游菌采样器
2.1.3 培养皿(φ90mm×15mm)
2.1.4 培养基(营养琼脂培养基)
2.1.5 恒温培养箱
2.2  仪器、设备、培养基的要求
2.2.1  浮游菌采样器
2.2.1.1 浮游菌采样器必须要有流量计和定时器。
2.2.1.2 应严格按仪器说明书的要求进行操作。
2.2.1.3 采样器必须按仪器的检定周期,定期对仪器作检定,以保证测试数据的可靠性,检验项目有:定时器,转盘转速,流量计。
2.2.1.4 每次测试前应先接通电源,启动真空抽气泵,然后调节流量计和定时器。
2.2.1.5 空气采样量根据需要选定,已知采样器的流量(L/min),设定采样时间(min)两者相乘即得采样量(L)。
2.2.1.6 采样口必须用便于消毒及化学性能稳定的材料制造,采样管严禁渗漏,内壁应光滑,采样管的长度应根据测定点的高度定,尽量减少弯曲。
3.测试方法
3.1  测试用仪器、培养皿表面必须严格消毒。
3.1.1  采样器进入被测房间前先用消毒剂灭菌。
3.1.2  用消毒剂擦净培养皿的外表面。
3.1.3  采样前,先用消毒剂消毒采样器的顶盘、转盘以及罩子的内外面,采样结束再用消毒剂轻轻喷射罩子的内壁和转盘。
3.1.4  采样口及采样管使用前必须高温灭菌,如用消毒剂对采样管的外壁、内壁进行消毒,应将管中的残留液倒掉并晾干。
3.1.5  采样者应穿戴与被测洁净区域相应的工作服,在转盘上放入或调换培养皿前,双手用消毒剂消毒。
3.2采样程序
3.2.1  仪器经消毒后先不放入培养皿,开动真空泵抽气,使仪器的残余消毒剂蒸发,时间不少于5min,并调好流量、转盘转速。
3.2.2  关闭真空泵,放入培养皿,盖上盖子后调节采样品缝隙高度。
3.2.3  置采样器于采样点后,开启采样器、转动定时器,根据采样量设定
采样时间。
4.测试规则
4.1测试状态
4.1.1浮游菌测试前微生物限度检查室已经消毒过。
4.1.2测试状态为静态测试,并在报告中注明测试状态。
4.2测试人员
4.2.1测试人员必须穿戴符和被测环境级别的工作服。
4.2.2静态测试时,室内人员不得多于2人。
4.3测试时间
4.3.1对单向流,测试应在净化空调系统正常运行不少于10min后开始。
4.3.2对非单向流,测试应在净化空调系统正常运行不少于30min后开始。
4.4最少采样点数目及其布置,最小采样量,见下表:
4.4.1  工作区测点位置离地0.8m~1.5m左右,送风口测点位置离开送风面30cm左右;可在关键设备或关键工作活动范围处增加测点。
4.4.2  每个采样点一般采样一次。
4.4.3  对于单向流或送风口,采样器采样管口朝向应正对气流方向;对于非单向流,采样管口向上。
4.4.4  布置采样点时,至少应离开尘粒较集中的回风口1m以上。
4.4.5  采样时,测试人员应站在采样口的下风侧。
5.培养
取样结束后将平皿复倒置隔水式恒温水浴培养箱内于30~35℃培养48小时。并以未采样的营养琼脂平皿作对照皿。
6.菌落计数
6.1 用肉眼直接计数,然后用5-10倍放大镜检查,是否遗漏。
6.2 若培养皿上有2个或2个以上菌落重叠,可分辨时,仍以2个或2个以上的菌落计数。计数:培养结束,将上述培养后的平皿取出,逐个点计菌落数,必要时用放大镜检查,并记录。 
7.结果计算
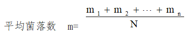
7.1 平均菌落数的计算见下式:
式中:m 为该房间(或区域)的平均菌落数;
    m1、m2‥‥‥mn 为该房间(或区域)各取样点的菌落数;
   N 为培养皿总数。
8 结论
8.1 洁净室(区)内的平均菌落数必须低于所选定的评定标准。

8.2 若某洁净室(区)的平均菌落数超过评定标准,则必须对此区域先行消毒,然后重新测试两次,测试结果必须合格。

声明:本文章来源的稿件均为转载,仅用于分享,如涉及版权等问题,请尽快联系我们,我们第一时间更正,谢谢!